一、符号检验(sign test)《预防医学》

一、符号检验(sign test)

此法主要用于配对资料的比较,现以表21-1资料为例介绍其方法步骤。

例21.112名宇航员行前及返航后24小时的心率变化如表21-1所示,试问航行对心率有无影响?

表21-1宇航员航行前后的心率(次/分)及符号检验计算表

宇航员编号(1)航前(2)航后(3)(2)-(3)差数的符号(4)
17693-
27168+
37065+
46165-
58093-
65978-
77483-
86279-
97998-
107278-
118490-
126360+

(一)建立检验假设

H0:宇航对心率无影响,即差值的“正”、“负”号个数相等

H1:宇航对心率有影响,即差值的“正”、“负”号个数不等

α=0.05

(二)将各对数据中,航前大于航后者记为“+”,航前小于航后者记为“-”,航前等于航后者记为“0”,列于表21-1第(4)栏。

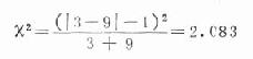
(三)分别数出“+”“-”号的个数,并以“+”号的个数作为a,“-”号的个数作为b ,代入式(21.1)

公式(21.1)

本例a=3,b=9

v=1,x20..05(1)=3.84,今x2=2.083<3.84,P>0.05,按α=0.05检验水准不拒绝H0,因此尚不能认为宇航对心率有影响。

上一页:第二十一章 秩和检验
当前页:一、符号检验(sign test)
下一页:二、符号秩和检验(Wilcoxon法)

返回目录