第六章

这一章综述了单变量函数的常义积分、广义积分、含参数积分的基本概念、性质和计算方法,收集了求不定积分、定积分、多重积分、曲线积分、曲面积分的有关公式,主要的积分不等式以及积分的某些近似计算公式,简要地列举了积分在实际中的各种应用;编制了不定积分表和定积分表.

§1单变量函数的积分

一、积分基本概念

[不定积分原函数 如果在给定的区间[a ,b]

那末F (x)称为f(x)在区间[a,b]上的一个原函数.

如果f(x)有一个原函数F (x),那末它一定有无穷多个原函数,它们是形如

式中C是任意常数的函数族,所以用记号

表示f(x)的原函数全体,称为f(x)的不定积分.

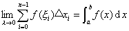
[定积分·黎曼积分] 设在区间[a,b]上给定了函数f(x).用任意方法把区间[a,b]分成若干部分,其分点为,并设λ是 (i=0,1,2,,n1)中最大的.在每一个小区间[]上任取一点 (i=0,1,2,,n1),作和6.1.λ0时,如果极限

存在,那末这个极限称为函数f(x)在区间[a,b]上的定积分,记作

此时,函数f(x)称为区间[a,b]上的可积函数黎曼可积ab分别称为积分的下限和上限,f(x)称为被积函数,x是积分变量,“”是积分号.

[牛顿-莱布尼茨公式] 若函数f(x)在区间[a,b]上连续,或分段连续,则f(x)[a,b]上有原函数,设F(x)f(x)[a,b]上的一个原函数,则

这称为牛顿-莱布尼茨公式,或微积分学基本定理,它指出了定积分与不定积分的内在联系.

[可积函数及其性质]

(1) 若函数f(x)在区间[a,b]上连续,则f(x)是可积的.

(2) 若函数f(x)[a,b]上有界,且只有有限多个间断点,则f(x)是可积的.

(3) 单调有界函数一定是可积的.

(4) 可积函数一定是有界的.

(5) 若函数f(x)可积,则|f(x)|kf(x)k为常数)也可积.

(6) 若函数f(x)g(x)可积,则其和、差、乘积也可积.

(7) 若函数f(x)[a,b]上可积,则f(x)[a,b]中的任一部分区间[α,β]上也可积.反之,若把[a,b]分割成若干部分区间,并分别在每个部分区间上f(x)可积,则它在整个区间[a,b]上可积.

[积分中值定理]儍儍儍儍

(1) 若函数f(x)在区间[a,b]上连续(图6.2),则在区间[a,b]内至少存在一个数ξ(a<ξ<b),使得

(2) 若函数f(x)g(x)在区间[a,b]上有界且可积,f(x)连续,g(x)在区间[a,b]内不变号,则在区间[a,b]内至少存在一个数ξ(a<ξ<b),使得

这称为关于积分的第一中值定理.

(3) 若函数f(x)g(x)在区间[a,b]上有界且可积,而f(x)[a,b]上是单调的,则在区间[a,b]内至少存在一个数ξ(a<ξ<b),使得

这称为关于积分的第二中值定理.

(4) 除此条件而外,若f(x)非负单调下降广义的,则

(a<ξ<b)

f(x)非负单调上升广义的,则

(a<ξ<b)