(二)t检验 用于σ未知且n较小时。《预防医学》

(二)t检验 用于σ未知且n较小时。

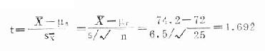
公式(19.7)

以算得的统计量t,按表19-4所示关系作判断。

表19-4 |t|值、P值与统计结论

α|t|值P值统计结论
0.05<t0.05(v)<0.05不拒绝H0,差别无统计学意义
0.05≥t0.05(v)≤0.05拒绝H0,接受H1,差别有统计学意义
0.01≥t0.01(v)≤0.01拒绝H0,接受H1,差别有高度统计学意义

例19.4 若例19.3中总体标准差σ未知,但样本标准差已求出,s=6.5次/分,余数据同例19.3。

据题意,与例19.3不同之处在于σ未知,可用t检验。

H0: μ=μ0

H1: μ>μ0

α=0.05(单侧检验)

本例自由度v=25-1=24,查t界值表(单侧)(附表19-1)得t0.05(24)=1.711。算得的统计量t=1.692<1.711,P>0.05,按α=0.05检验水准不拒绝H0,尚不能认为该山区成年男子的脉搏高于一般。

上一页:(一)u检验 用于σ已知或σ未知但n足够大[用样本标准差s作为σ的估计值,代入式(19.6)]时。
当前页:(二)t检验 用于σ未知且n较小时。
下一页:二、配对资料的比较

返回目录