| 一、沉降平皿法 | 《预防医学》 |
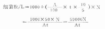
一、沉降平皿法将盛有培养基的平皿持平暴露在空气中一定时间,然后置温箱培养,计算所生长的菌落数。 1.牛肉浸膏50g;蛋白陈10g;氯分钠5g;琼脂20g;加水至1000ml。调节培养基pH7.2~7.4,经15磅30分钟高压灭菌。 2.空气采样 (1)选择有代表性的采样点,一般在室内四角及室中央,放置含营养琼脂的平皿。 (2)打开皿盖(将皿盖置于平皿底下,不可仰放,以防污染),将有培养基的平皿,暴露于空气10~20分钟(视空气清洁程度而定),采样毕合上皿盖,记录采样时间。 (3)培养皿置于37℃温箱培养24小时。 (4)记录5个平皿的菌落总数。 3.结果计算:100cm2琼脂面积上,5分钟所降落的菌落数,相当于10L空气所含细菌数,计算结果如下:
t——平皿暴露于空气中的时间(分钟) N——培养后,平皿上的菌落总数 A——所用平皿的面积(cm2)
|
返回目录 |